
* 전기 영상법
전기 영상법은 전기력이나 전계, 전위 등을 구하는 해법이다.
1. 무한 평면 도체와 점전하

① 무한 평면 도체와 점전하 사이에 작용하는 전기력

전기력 앞의 부호가 음의 부호인 것은 흡입력을 뜻한다.
② 무한 평면 도체 표면에 유도되는 최대 면전하 밀도

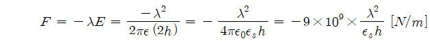
2. 무한 평면 도체와 선전하

① 무한 평면 도체와 선전하 사이의 전기력

* 접지 도체 구와 점전하


② 영상 전하의 위치

③ 접지 도체 구와 점전하 사이의 전기력

'전기자기학' 카테고리의 다른 글
| [전기자기학] ⑦ 정자계 (0) | 2020.06.28 |
|---|---|
| [전기자기학] ⑥ 전류 (0) | 2020.06.25 |
| [전기자기학] ④ 유전체 (0) | 2020.06.10 |
| [전기자기학] ③ 정전 용량 (0) | 2020.06.09 |