
* 정전 용량 (커패시턴스 : Capacitance)
① 두 평행 도체 판의 정전 용량 (도체 판 간격 d, 판의 넓이 S)

② 구 도체의 정전 용량 (반지름 a)

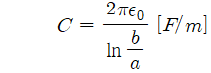
③ 동심 구 도체의 정전 용량 (내구 반지름 a, 외구 반지름 b)

④ 동축 원통 도체(케이블)의 정전 용량 (내측 원통 반지름 a, 외측 원통 반지름 b)

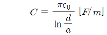
⑤ 두 평행 도선의 정전 용량 (두 도선 간의 거리 d, 도선의 반지름 a)

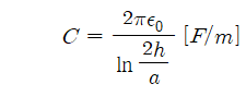
⑥ 선과 대지 간의 정전 용량 (선의 반지름 a, 선과 대지 간의 높이 h)

* 정전 에너지



'전기자기학' 카테고리의 다른 글
| [전기자기학] ⑤ 전기 영상법 (0) | 2020.06.10 |
|---|---|
| [전기자기학] ④ 유전체 (0) | 2020.06.10 |
| [전기자기학] ② 정전계 (0) | 2020.06.09 |
| [전기자기학] ① 벡터(vector) (0) | 2020.06.08 |